7.4. IP Multicast

Az Internetben a multicast nem megoldott kérdés. Finoman fogalmazva alig léteznek ezzel kapcsolatos szabványos megoldások. Csupán az utóbbi idôben került a figyelem középpontjába, hiszen több elônnyel is jár. Egyrészt segítségével a hálózaton manuális konfiguráció nélkül kereshetünk bizonyos szolgáltatásokat (anycast), számottevôen csökkenti a hálózat terheltségét és jól illeszkedik a multimédia konferenciákhoz. Ezt a lehetôséget maga az IETF már 1992-ben kihasználta, amikor az MBONE-on keresztül közvetítette San Diego-i tavaszi találkozóját a megjelenni nem tudóknak.

A Multicast két problémakörbôl tevôdik össze, az egyik az állomások megváltozott feladatai, a másik a routing. Ilyen sorrendben tárgyaljuk ôket.

7.4.1. Internet Group Membership Protocol (IGMP)

Az IGMP [RFC1112] az egyik legrégebbi és sokáig egyetlen a multicast-tal foglalkozó Internet szabvány, megvalósítása mára kötelezô az állomásokban, az IPv6-ban pedig az ICMP szerves része.

Nem broadcast link-ek esetén a multicast úgy valósítható meg, hogy minden a csoporthoz tartozó állomás számára egyesével elküldjük a multicast csomagot. Broadcast link-ek esetén azonban fontos, hogy a csomag csak egyszer haladjon végig a link-en. Az állomásoknak itt fel kell készülniük arra, hogy meghallják az összes D osztályú címmel feladott csomagot és kiszûrjék azokat, melyek nekik nem szólnak. Valamilyen módon azonban a router-ek tudomására kell hozni, hogy az adott link-en van-e valaki, aki tagja valamely multicast csoportnak, hogy azok egyáltalán körbeadják itt az annak a csoportnak szóló csomagokat. Erre való az IGMP.

Két IGMP üzenet létezik, az egyik segítségével a router-ek kérdezik le a csoporttagságot, a másikkal pedig az állomások válaszolnak, egy-egy választ küldve minden csoporthoz, melynek tagjai. Minthogy broadcast link-en mindegy, hogy hány tagja van az adott csoportnak, csak az fontos, hogy van-e vagy nincs, ha valamely állomás hallja, hogy más már jelezte tagságát a router-nek, egy olyan csoportra, aminek ô is tagja, akkor ô már nem jelez külön.

7.4.2. Multicast routing

A multicast routing legegyszerûbb módja az árasztás. [2] Ennek használatát már az OSPF-ben láthattuk, ott a topológiai információkat terítették így egymás között a router-ek. Az árasztás lényege az, hogy a bejövô csomagot minden interface-ünkön továbbadjuk (kivéve azt, amelyiken kaptuk), csak arra kell figyelni, hogy ha egy csomagot már továbbítottunk, akkor ne továbbítsuk mégegyszer. Ehhez az OSPF idôbélyegeket használ, erre itt nincsen lehetôségünk, hisz egy IP csomagba nem tehetünk idôbélyeget. Nincs mese meg kell jegyezni a „néhány" legutoljára továbbított multicast csomagot, s ha valamelyik újra elérkezik hozzánk, nem továbbítjuk. A módszer hátránya éppen ez a lista, ami gyors hálózatokon meglehetôsen hosszú lehet, másfelôl azt ugyan garantálja, hogy egy router nem küld el egy csomagot kétszer, de azt nem, hogy nem is kapja meg kétszer, pedig ez is jó lenne.

Sokkal hatékonyabb megoldás a feszítôfa módszere. Ezt használják a transparent bridge-k is (errôl az Internetworking fejezetben volt szó), lényege az, hogy a hálózat fölött megállapítunk egy feszítôfát és a bejövô multicast csomagot e fa mentén továbbítjuk minden a fához tartozó interface-en, kivéve azon, amelyiken kaptuk. Minthogy a fa körmentes, egy csomag kétszer senkihez sem jut el. Ráadásul igen kevés információt kell tárolnunk, csupán minden interface-hez egy bitet, hogy az adott interface tagja-e a fának vagy sem. A hátrányok között említeném, hogy a módszer mindenhova eljuttatja az összes multicast csomagot, függetlenül attól, hogy arrafele van-e tagja a csoportnak, másfelôl pedig minden multicast forgalom a fa link-jein zajlik, más link-eken pedig egyáltalán nem, ami a hálózat egyenlôtlen terheltségéhez vezet. Kérdés még, hogy miként határozzuk meg a feszítôfát.

66. ábra. Feszítôfa a hálózatban

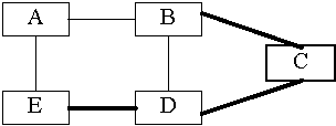
Másik eljárás a visszirányú továbbítás (Reverse Path Forwarding, RPF). Ez explicit módon minden forráshoz külön fát épít egy tetszôleges routing protokoll táblázata alapján. Ha multicast csomagot kapunk F forrástól az I interface-en, akkor

  1. Ha az I interface vezet a legrövidebb úton S-be, akkor továbbítjuk a csomagot minden interface-en, kivéve I-n.
  2. Ha nem, akkor eldobjuk a csomagot.

Tehát, ha C csomagot ad fel A-nak és E-nek, akkor ezeket elôször D-nek és B-nek postázza. Ezek, minthogy a C felé vezetô legrövidebb úton kapták a csomagot, továbbadják A-nak és E-nek, valamint egymásnak. Az egymástól kapott csomagokról nem tudják azonban, hogy ôk ezt a csomagot már továbbították, hiszen nem árasztásról van szó és nem jegyezzük a legutóbbi néhány csomagot. Viszont például B, aki D felôl kapta a csomagot láthatja, hogy C felé a legrövidebb út nem D-n át vezet, így ezt a csomagot eldobja, mondván, hogy a legrövidebb úton úgyis megkapja majd (ha eddig még nem kapta meg). Hasonlóan D is eldobja B-tôl kapott a csomagot. A csomag így eljut A-ba és E-be is, melyek feldolgozzák és, minthogy a C felé vezetô legrövidebb úton kapták, továbbadják egymásnak, ám minthogy ezt a másodpéldányt már nem a legrövidebb úton kapták, ezért eldobják.

A módszer elônye, hogy nem igényel semmi mást, mint egy teljesen tetszôleges routing protokoll táblázatát, sem külön memória, sem különösen nagy számítási teljesítmény nem kell hozzá. Ha a hálózat költségei szimmetrikusak, azaz a forrás felé ugyanannyi a költség, mint a forrás felôl, akkor a multicast csomag minden célponthoz a legolcsóbb úton jut majd el, minden forrásból külön feszítôfa keletkezik. Emiatt a hálózat is egyenletesebben terhelt.

Könnyen tovább javíthatunk az eljáráson, ha egy lépéssel messzebbre tekintünk. Ha a mi router-ünk nincs rajta egy szomszédos router és a forrás közötti legrövidebb úton, akkor annak a szomszédos router-nek teljesen fölösleges elküldeni a csomagot, úgyis eldobja majd. Ez az egy lépéssel messzebbre való kitekintés nem igényel túl sok kapacitást, például az OSPF adatbázisból könnyen kinyerhetô. Az RPF azonban még mindig a teljes hálózatot beteríti a csomagokkal, s nem veszi figyelembe, hogy merre vannak tagjai az adott csoportnak és merre nincsenek.

Ezen segít, az RPF tisztogatásokkal való bôvítése (RPF and prunes). Ebben az esetben az elsô csomagot az RPF szerint mindenkihez eljuttatjuk. Ezután minden router, akinek hálózatán nincs senki akinek a csomag szólt volna, tiltakozó csomagot küld visszafelé (ez a tisztogatás). Az a router, aki egy interface-én keresztül tiltakozó csomagot kapott, az adott forrástól az adott csoportcímre küldött csomagokat azon az interface-en keresztül már nem továbbítja többet. Ha egy router minden interface-érôl kapott tiltakozást, maga is tiltakozni fog az adott forrás felé, így ô már teljesen kimarad az adott forrásnak az adott csoporthoz küldött csomagjaiból. A folyamat végén csak azok az állomások lesznek a fában, akik valóban igénylik a csomagokat.

Mindennek két hátránya van.

  1. Az elsô (néhány) csomag mindenkihez (sokakhoz) eljut.
  2. A router-eknek tárolniuk kell, mely interface-ükön kaptak már tiltakozást minden forráshoz és minden csoporthoz. Ezek az információk ideiglenesek, idôvel törölni érdemes ôket, ez esetleg megújító tiltakozásokat eredményez, ha mégsem kell arra továbbítani. Mindez sok memóriát és forgalmat okoz.

Ha azonban fix gyökerû fákat (Core Based Trees, CBT) használunk, akkor nem minden forráshoz és csoporthoz, hanem csoportonként csupán egy forráshoz kell letárolnunk a tiltakozásokat. Ebben az esetben ugyanis a csoporthoz egy fix gyökér tartozik, minden forrás ennek az állomásnak küldi el multicast csomagját (unicast csomagba csomagolva) és ez az állomás adja fel a tényleges multicast csomagot. Az adott csoporthoz tehát csak egy forrás létezik.

Azok, akik egy adott csoport forgalmát meg szeretnék kapni (azaz csatlakozni szeretnének a csoporthoz), csatlakozó üzenetet küldenek a gyökérnek. Ezt az üzenetet az összes közbeesô router feldolgozza. Ha ez az elsô csatlakozó üzenet, amit a router kap, akkor megjelöli az interface-t amin kapta, majd továbbítja a gyökér felé. Ha nem, akkor csak megjelöli az interface-t, hiszen ôhozzá már eljutnak az adott csoport csomagjai.

Egy becsomagolt multicast csomagnak nem kell eljutnia egészen a gyökérig, azon a ponton, ahol elôször belebotlik egy olyan router-be aki már rendelkezik megjelölt interface-ekkel, kicsomagolják és terjeszteni kezdik a fa mentén.

Ily módon minden csoporthoz egy fát építünk, ami miatt az adott csoport forgalma kizárólag a fa mentén zajlik, ezen több gyökér kijelölésével segíthetünk. A CBT nagy elônye, hogy csak azokhoz juttatja el a csomagot, akik kérik. Nem lemondani kell tehát a csomagot, mint az RPF esetén, hanem explicit módon kérni. Jól mûködik nagy és kis csoportok esetén egyaránt, a router-ekben pedig egészen kevés információt kell tárolni.

A következô részekben a fenti alapelvek implementációit tekintjük át.

7.4.3. Distance Vector Multicast Routing Protocol (DVMRP)

A DVMRP az MBONE routing protokollja [RFC1075]. Az MBONE egy kísérleti multicast gerinc, mely nem önálló fizikai összeköttetéseken, hanem a rendes unicast Internet fölött létrehozott alagutakban (tunnel) mûködik. Alapvetôen multicast-képes szigetekbôl áll, a multicast router-ek egymás között pedig egymásnak címzett IP csomagokba csomagolva adják át a továbbítandó csomagokat. Maguk a multicast router-ek a DVMRP-t futtatják, ami leginkább a RIP-hez hasonlít, de nem a célpontok felé vezetô legrövidebb utat, hanem a források felôl vezetô legrövidebb utat számítja ki. Ezt az információt az RPF tisztogatásokkal mûködô változata használja fel a multicast csomagok továbbítására. A csomagokat azonban nemcsak a router minden interface-én hanem az alagutakon is továbbítják.

Az alagutakat a két router rendszergazdájának manuálisan kell konfigurálnia. Minden alagútnak három paramétere van: a másik végén lévô router, az alagút költsége és egy küszöbérték. Az alagút költségét a distance-vector protokoll használja fel a legrövidebb út számításához, a küszöbérték pedig a forgalom korlátozására szolgál. Ha egy csomag TTL mezôje nem nagyobb, mint a küszöb, az adott alagúton nem továbbítják. Megegyezés szerint a szervezetek közötti alagutak 32, a régiók közöttiek 64, a kontinensek közöttiek pedig 128-as küszöbbel rendelkeznek, így egy 128-nál kisebb TTL-lel elküldött csomag biztos nem vesz majd igénybe óceán feletti vonalat.

Az MBONE kísérletnek indult, mára pedig több mint 10000 tagja van. A multicast router-ek feladatait többnyire közönséges munkaállomások látják el, melyeken a régi szép idôkhöz hasonlóan egy „mrouted" nevû program végzi a route-olást, a program a kísérlet része és ingyenes. Hiába kísérlet azonban, az MBONE-t ma már üzemszerûen használják, ennek segítségével elôbb audio-, majd videoközvetítést hallhatunk-láthatunk az IETF gyûlésekrôl, ám mindennek véget kell érnie, hisz a DVMRP nem képes ilyen nagy hálózatot a siker esélyével kiszolgálni. Erre jobb protokollok és dedikált router-ek kellenek.

7.4.4. Multicast OSPF (MOSPF)

A legegyszerûbben a link-state protokollok alakíthatóak át multicast protokollokká, hisz ott a teljes adatbázis rendelkezésre áll. A MOSPF [RFC1584] mûködése megegyezik az OSPF mûködésével, mindössze néhány kiegészítéssel bôvült. Ugyanúgy, ahogy az OSPF router-ek közölik egymással, hogy támogatják-e a nem 0 TOS alapján való route-olást, azt is kiderítik egymásról, hogy támogatják-e a multicast-ot, így lehetséges egyszerre OSPF és MOSPF router-ek alkalmazása is, természetesen a multicast funkcionalitás így nem lesz teljes.

Ha egy MOSPF router csomagot kap az F feladótól a C csoportra, akkor a topológiai adatbázis segítségével kiszámolja a célpontokhoz vezetô legrövidebb utakat, majd a szükséges interface-eken keresztül továbbítja a csomagot. A topológiai adatbázisnak azonban csak azokat a részeit használja fel, melyeket MOSPF router-ek generáltak. Ha így a terület 2 részre szakad, akkor a multicast forgalom nem tud eljutni az egyik félbôl a másikba; a MOSPF nem definiál az MBONE-hoz hasonló alagútrendszert, ez csak bonyolítaná a protokollt. Minthogy a MOSPF kiegészítés nem érinti a router hardware elemeit, egyszerû software cserével megoldható. A tervezôk arra számítottak, hogy az átmeneti idôszak rövid lesz.

A csoporttagságok információit egy új link-state rekordban terjesztik a router-ek, melyben a link megbízott router-e felsorolja azokat a csoportokat, melyeknek van tagjuk az adott link-en. A területhatáron lévô router-ek ezeket a rekordokat is összegzik, és csak azt közlik a gerincre, hogy a területen milyen csoportoknak vannak tagjai.

Az AS határán lévô router-ek nem terjeszthetik befelé az összes Internet csoportot, ez túl sok információ lenne. Az ilyen router-ek inkább automatikusan minden csoport tagjának tekinttetnek, így minden multicast csomagot megkapnak és tetszésük szerint továbbíthatják vagy elvethetik azokat. Hasonlóképpen a területhatáron lévô router-ek területük összes csoportjának tagjai, így a területen lévô összes csoportnak feladott multicast csomagot megkapják. Így a többi területen lévô csoportok listáját nem kell terjeszteni a területen belül.

Ha két egyenlô költségû út létezik és ezek közül véletlenszerûen választanának a router-ek, mint az unicast esetben, elôfordulhatna, hogy két router más-más utat választ, más feszítôfát kap eredményül, ami inkoherens döntéseket eredményezne. Ezért a protokoll tartalmaz egy algoritmust, ami alapján az egyenlô költségû utak közül a költségen kívüli szempontok alapján, egyértelmûen lehet választani.

A MOSPF nagyon sokat tudó protokoll, egyesek szerint túl sokat tudó. Hiszen minden a területen lévô csoporthoz, minden forrásból külön fát kell kiszámolni. Egy terület javasolt maximális mérete 200 link, ennyi forrás lehet, csoport akár még több is. Ez komoly számítási teljesítményt köthet le. A MOSPF fejlesztôi azzal védekeznek, hogy ezeket a számításokat csak akkor végzi el a protokoll, amikor kell, tehát, ha az elsô csomag megérkezik az adott forrásból az adott csoportra. A számítások eredményét pedig cache-ben tárolják a router-ek, a cache akkor törlôdik, ha már régen nem jött ugyanabból a forrásból ugyanabba a csoportba csomag, illetve topológiai változás esetén. Azok a router-ek melyeket nem érint az adott fa, sohasem fogják elvégezni a számításokat. Csupán az idô és a tapasztalat mondja majd meg, hogy a számítási teljesítmény elegendô lesz-e.

7.4.5. Protocol Independent Multicast (PIM)

Míg a MOSPF elsôsorban az AS-en belüli multicast routing témakörét célozta meg és fô feladatának a legrövidebb út meglelését tekintette, addig a PIM inkább globális szinten keres megoldást és fô problémája a routertáblázatok mérete. A multicast csoporttól függôen két verziója létezik, az egyik a sûrû (dense mode), a másik a ritka (sparse mode). Ezek a kifejezések azt takarják, hogy egy csoportnak mennyi tagja van az Interneten. Ha nagy az esélye annak, hogy egy adott területen van tagja a csoportnak, akkor az a csoport sûrû, ha pedig kicsi, akkor ritka. Ennek a két szituációnak megfelelôen két külön protokoll létezik.

A sûrû PIM roppant egyszerû. [34] Minthogy a csoportnak mindenfelé vannak tagjai, nem okozunk túl sok fölösleges forgalmat, ha elárasztjuk a hálózatot a csomagokkal., éppen ezért az RPF tisztogatásokkal való kiegészítését használjuk. Ennek hibája, hogy a tiltakozások listáját idôrôl idôre el kell felejteni, hogy új tagok jelentkezése esetén hozzájuk is eljusson a csomag és a tiltakozás elmaradásával jelezzék, hogy kell nekik az adás. A lista elfelejtése azonban azzal jár, hogy számos tiltakozás újragenerálódik, ami nagy forgalmat okoz. Sûrû csoport esetén azonban nem olyan nagyot, hisz kevés a tiltakozó állomás. A sûrû PIM egyszerûbb, mint a DVMRP, mert nem mûködtet önálló unicast routing protokollt, adatait a létezô protokoll táblázatából veszi. (Ezért protokoll-független multicast a neve.) Pontos mûködése tehát:

  1. Ha multicast csomagot veszünk az F forrásból, az I interface-en a C csoportnak, elôször megnézzük a táblázatban, hogy F felé az I interface-en át küldünk-e unicast csomagokat.
  2. Ha nem, eldobjuk a csomagot és az I interface-en elküldünk egy tiltakozás(F,C)-t.
  3. Ha igen, akkor minden olyan interface-en, amire még nem kaptunk tiltakozás(F,C)-t, elküldjük a csomagot, kivéve I-t. Ha nincs már ilyen interface, akkor I-re postázunk egy tiltakozás(F,C)-t.

Ha egy router-ben kevés a memória, néhány régóta nem használt tiltakozási listát nyugodtan elfeledhet, ennek maximum a tiltakozások újraküldése lesz az eredménye.

Ha két szomszédján keresztül egyenlô költségû utak vezetnek egy adott forráshoz (a fenti lista 1. pontjában nem lehet dönteni), nemes egyszerûséggel úgy választ, hogy csak a nagyobb IP címû szomszédjától fogad el csomagokat.

A ritka PIM nem mûködhet úgy, mint a sûrû, tehát nem épülhet tiltakozásokra, hisz ehhez mindenkinek el kell juttatni az elsô csomagot, ami egy háromszemélyes videokonferencia esetén kimondottan felesleges a teljes Internetben. A ritka PIM emiatt a CBT-re épül. [2] [35]

Minden csoport rendelkezik egy találkozási ponttal (Rendezvous Point, RP), ennek küldenek csatlakozó üzenetet a csatlakozni vágyók, melyeket a közbeesô router-ek feldolgoznak. Ha tehát az adott csoport RP-je C és E csatlakozni kíván, az elküldött üzenet mentén kiépül a továbbítási útvonal; a feszítôfa a következôképpen néz ki.

67. ábra. Ritka PIM 1.

Ha B adni kíván, nem ismeri a csoport tagjait, csupán az RP-t, így elsô csomagját becsomagolja egy regisztrációs üzenetbe, amit elküld C-nek. Az RP erre egy csatlakozó üzenetet küld B-nek, új ágat adva ezzel a fához.

68. ábra. Ritka PIM 2.

Ez azonban B-bôl nem az optimális útvonal E felé, de látható, hogy egyetlen olyan router sem tagja a fának, aki nincs az RP és valamely tag között. Ha E úgy látja, hogy már nagyon sok csomagot kapott B-tôl, küldhet B felé egy csatlakozó üzenetet, C felé pedig egy tiltakozót. Így továbbra is összeköttetésben van az RP-vel, hisz tudja, hogy B tagja a fának, tehát továbbra is minden csomagot meg fog kapni, csak más úton. B felôl azonban jelentôs a teljesítménynövekedés.

69. ábra. Ritka PIM 3.

A B által küldött csomagok azon célpontok felé, melyek E-hez hasonlóan áttértek az RP-rôl B-re az optimális úton haladnak. A fa gyökere ezen állomások számára nem az RP, hanem B. Természetesen az RP fa nem szûnt meg, más források továbbra is elôször C-nek küldik csomagjaikat, valamint B is elküldi C-nek saját datagramjait, hogy azon célpontokhoz is eljussanak, akik nem nyergeltek át rá. Mégis, az a lehetôség, hogy a fix gyökerû fából áttérhetünk egy RPF fába, ahol a forrás a gyökér, jelentôs haladás és a ritka PIM és a CBT közti fô különbség. Ezenfelül a CBT [35] hard-state (az üzeneteket nyugtázni kell, a nem nyugtázott üzeneteket újraadjuk), míg a ritka PIM soft-state (az üzeneteket nem nyugtázzuk, de periodikusan ismételgetjük, elmaradásuk esetén lassan kiöregítjük ôket).

A (ritka és sûrû) PIM üzenetek hordozói az IGMP csomagok, ám a konkrét csomagformátumok még nem készültek el.